07:环保之窗
3上一期   下一期4  
 
标题导航
 
2015年02月06日 星期五 出版
3 上一篇   下一篇 4  
放大 缩小 默认   
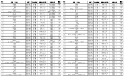
关于黄标车淘汰补助的公示

新昌县黄标车淘汰补助车辆明细表

  根据《新昌县黄标车淘汰补助实施办法》的相关规定,经自愿申请、资料审核,现对第二批符合黄标车淘汰补助条件的96辆黄标车进行公示,公示期限为7天。

  公示期限自2015年2月6日起至2015年2月12日止。在公示期限内,如有异议,请以书面形式反馈给新昌县环保局污控科,并署真实姓名、联系电话。

  联系电话:0575-86335562

  新昌县环保局 新昌县公安局 新昌县财政局

3 上一篇   下一篇 4  
放大 缩小 默认   
   第01版:一版要闻
   第02版:快讯
   第03版:专刊
   第04版:时尚生活
   第05版:新昌风景旅游
   第06版:专刊
   第07版:环保之窗
   第08版:生活资讯
新昌县保利机械有限公司污染环境案浅析
我县举办新环保法培训
关于黄标车淘汰补助的公示
广告
今日新昌环保之窗07关于黄标车淘汰补助的公示 2015-02-06 2 2015年02月06日 星期五